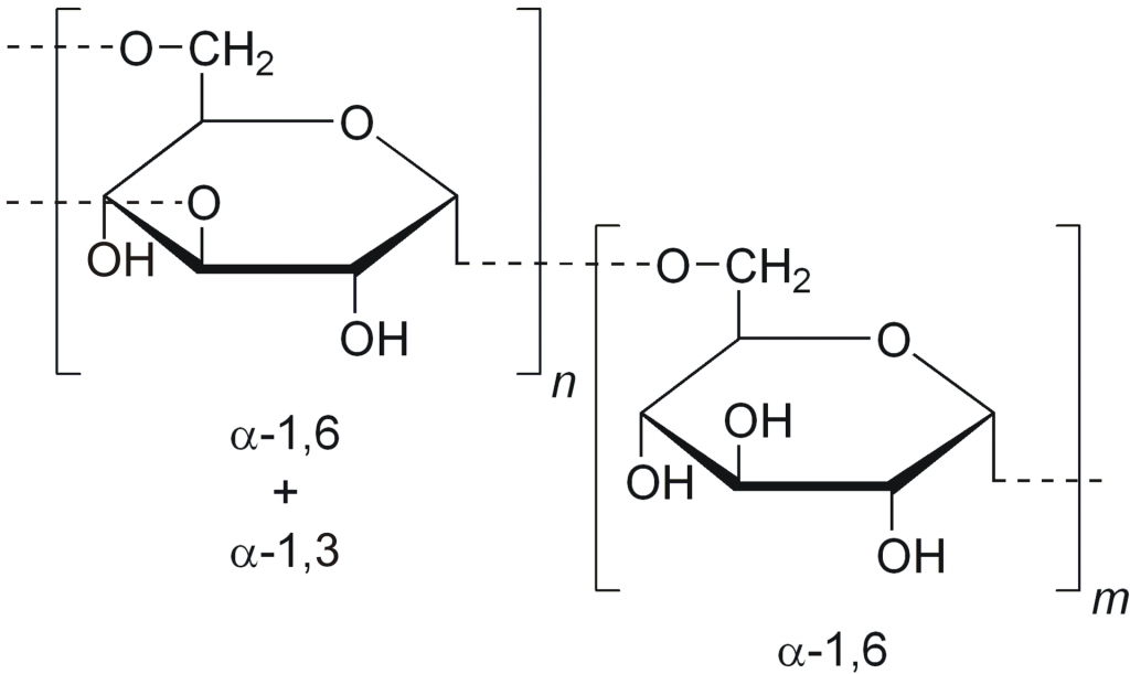
ديكستران dextran :
مبلمر جلوكوز لزج يتم إنتاجه من قبل بعض البكتيريا، و صيغته العامة H(C6H10O5)xOH . اكتشف لويس باستور الديكستـران كمنتج ميكروبي في النبيذ ولكن الإنتاج الضخم لم يكن ممكنًا إلا بعد تطوير “ألين جين” لعملية تحضير للديكستـران باستخدام البكتيريا. و يعتبر الديكستـران من الملوثات المعقدة في تكرير السكر لأنه يرفع من لزوجة محاليل السكروز ويتسبب في تلف الخلطة.
يتم إنتاج ديكسـتران الآن من خلال تخمير السكروز ( سكر قصب السكر) بواسطة بعض بكتيريا حمض اللاكتيك من عائلة العصيات اللبنية. كما لا تعتمد بنية الدكستران المنتجة على عائلة وأنواع البكتيريا فحسب ، بل تعتمد أيضًا على السلالة. يتم فصلها عن طريق الترسيب الجزئي من المستخلصات الخالية من البروتين باستخدام الإيثانول.
استخدامات الديكستران
يستخدم الديكسـتران كعامل تثخين و كمثبت في الآيسكريم و كبديل للبلازما في عمليات نقل الدم و أيضا من الناحية الطبية ، يتم استخدامه كمضاد للتخثر (مضاد للصفيحات) ، ولتقليل لزوجة الدم ، وكموسع في فقر الدم .

بوسترات (لوحات) كيميائية بدقة عالية (أكثر من 25 لوحة) من تصميم الأستاذ أكرم أمير العلي
بعض التطبيقات الكيميائية من تصميم الأستاذ أكرم امير العلي متوفر للجوالات التي تعمل بنظام أندرويد android على سوق جوجل بلاي google play
1 – تطبيق ملصقات كيميائية: ملصقات بتصميم جميل جدا للكواشف و الأدلة و الزجاجيات المستخدمة في المختبر و كذلك ملصقات و بطاقات لخزانات حفظ المواد و الأدوات الزجاجية .
https://play.google.com/store/apps/details?id=com.akramir
2 – إذا كنت تواجه صعوبة في تحضير المحاليل الكيميائية الأكثر شيوعا في مختبرات الكيمياء و الاحياء، فهذا التطبيق سوف يساعدك كثيرا في تحضير المحاليل :